Translations of this page:

User Tools

Site Tools


research_results:worked_examples_effect

This is an old revision of the document!


Worked Examples Effects

Theory

The worked examples effect was first introduced in 19851) suggesting positive effects of providing a learner with an example of the problem solution before requiring him to solve one on his own.

This suggestion is contrary to many constructivist discovery learning methods which suggest a learner should try to solve the problem by himself. Cognitive load theory on the other hand suggests that searching for the problem solution places unnecessary load on the learner's mind preventing him from learning. A worked example will remove the load of searching for a solution and enable easier acquisition of basic steps leading to the solution.

Practice

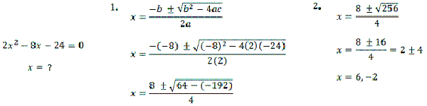
Learners should be presented with a worked example of the procedure they're expected to learn prior to trying to solving a problem which requires that procedure. For example, when teaching learners the formula for calculating roots of a quadratic formula, learners should first be provided with a worked example of using the formula, and then try to solve a problem on their own.

Research status

research_results/worked_examples_effect.1315910250.txt.gz · Last modified: 2023/06/19 15:49 (external edit)